
1. INTRODUCCIÓN
1.1 Historia
1.2 Partes
1.3 Tipos
1.4 Aplicaciones
2. FUNCIONAMIENTO
3. OTROS ACELERADORES CIRCULARES
3.1 El Sincro-Ciclotrón
3.2 El Betatrón
4. EL SINCROTRÓN
4.1 Sincrotrón de Electrones
4.2 Sincrotrón de Protones: El Tevatrón
5.SINCROTRÓN COMO COLISIONADOR DE PARTÍCULAS
5.1 Colisionador de Electrones
5.2 Colisionador de Protones: El Gran Colisionador de Hadrones
6. BIBLIOGRAFÍA
1. INTRODUCCIÓN:
En 1896, cuando el físico francés Henri Becquerel descubrió el fenómeno conocido como radiactividad (Propiedad de emitir radiaciones, designadas con las letras alfa *, beta* y gamma*, que presentan los núcleos de ciertos elementos químicos cuando se desintegran, llamados por ello radiactivos o radioisótopos), se abrió un nuevo campo de investigación dentro de la física.
Años más tarde, Marie y Pierre Curie descubrieron nuevos elementos químicos que cumplían dicha propiedad, pero no fue hasta 1911, cuando Rutherford y sus colaboradores, utilizando una fuente de partículas Alfa* bombardearon una delgada película transparente de oro y comprobaron, con asombro, que una partícula Alfa de cada diez mil era rebotada a algunos ángulos grandes.

Click en la imagen para ampliar.
Este experimento anulaba la teoría de Thompson,(para mas información clickear aki:[Modelo Atómico de Thomson] y dio origen al modelo nuclear de los átomos: la mayor parte de la masa de los átomos se concentraba en un pequeño volumen, al cual se le llamó el núcleo atómico.
La necesidad de disponer de instrumentos para generar proyectiles con los cuales pudiera controlar el tipo de partículas, su velocidad y el flujo nos condujo hacia los aceleradores de partículas. Desde sus incicios con el generador Cockcroft-Walton, los aceleradores se han ido desarrollando, dando lugar a dos tipos principalmente:
- Los aceleradores lineales: Formados por un conjunto de condensadores o placas situados en línea conectadas a un dispositivo que entrega un campo eléctrico alterno.
- Los aceleradores circulares: Son aquellos que hacen uso de un campo magnético constante o variable, que curva la trayectoria de la partícula.
En este blog hablaremos de este último tipo: Los aceleradores circulares.
*[Partículas Alfa]: Son núcleos ionizados de Helio formados por dos protones y dos neutrones. La emisión de este tipo de radiación ocurre en general en átomos de elementos muy pesados. Son capaces de atravesar una hoja de papel o la piel humana y se frenan en unos pocos centímetros de aire.
*[Partículas Beta ]: La radiación beta está constituida por electrones tanto con carga positiva y negativa. Los electrones con carga positiva se les llaman positrones. Cuando un núcleo expulsa una partícula beta, un neutrón es transformado en un protón. El núcleo aumenta así en una unidad su número atómico.
*[Partículas Gamma ]: La radiación gamma no tiene carga eléctrica y son ondas electromagnéticas. Los rayos gamma son los más penetrantes de los tipos de radiación descritos. La radiación gamma suele acompañar a la beta y a veces a la alfa. Pueden atravesar cientos de metros en el aire, y son detenidas solamente por capas grandes de hormigón, plomo o agua.
1.1 Historia :
El ciclotrón fue creado por Ernest Lawrence, con ayuda de su tutelado, Stanley Livingston, en 1929-1930, pero no se patentó hasta 1934. Fue el primer acelerador que por medio de la aceleración múltiple de los iones logró alcanzar elevadas velocidades si hacer uso de altos voltajes, tal y como funcionaba el acelerador lineal de Rolf Winderöe un año antes, gracias a un campo magnético constante.

Ernest Lawrence (1901-1958): Científico norteamericano galardonado en el Premio Nobelde Física en 1939 por la invención y desarrollo del ciclotrón
La primera versión estaba hecha de alambre y cera. Lawrence aplicó 2KeV voltios de electricidad, consiguiendo acelerar protones a 80 KeV.

Primer ciclotrón.

1.2 Partes:
Los principales componentes y sistemas de un ciclotrón son:
El imán: Normalmente de tipo resistivo. Un polo sobre las “D” (Norte) y otro debajo (Sur), generando un campo magnético, perpendicular a la partícula y uniforme, para confinar el haz de partículas. A medida que ganan energía el campo les obliga a describir una trayectoria espiral creciente.
Electrodos huecos: Tienen forma de “D”, se encuentran ligeramente separados y están conectados a un oscilador de alto voltaje. Alternando la carga positiva y negativa a estas “des” conseguimos acelerar la partícula.
La fuente de iones: Está formada por cátodos para la producción de protones y deuterones. Estos iones son insertados radialmente en la zona central del imán.
Sistema de extracción del haz: Se encarga de dirigir el haz de iones hacia el blanco utilizando una placa con voltaje negativo una vez que las partículas han llegado al borde externo de las D.
Blancos: Es el lugar donde las partículas impactan.
Detectores: Registran la emisión de energía de la sustancia radiactiva, el tipo de partícula, así como los niveles de radiactividad.
Sistema de vacío: Su finalidad es la de evitar que los iones acelerados colisionen con átomos de gases residuales, con el fin de evitar la creación de neutrones que dejarían de ser acelerados.
Sistema de refrigeración: Su finalidad es controlar y mantener la temperatura correcta, así como llevar a cabo la desionización del agua utilizada para dicha función.

Click en la imagen para ampliar.
A lo largo de estos años el dispositivo se ha ido mejorando hasta alcanzar energías mucho más grandes, dando lugar a dos tipos que veremos a continuación.
* Imán Resistivo: Es un imán formado por una bobina circular que crea un campo magnético uniforme en el centro de ésta al paso de la corriente eléctrica. Los diseños más frecuentes son en forma de C y D (caso del ciclotrón). Dado que en ciclotrón se utiliza un campo magnético muy alto, es necesario un sistema de refrigeración.
1.3 Tipos de ciclotrones:
Existen dos tipos, según el plano de giro:
– Ciclotrón vertical: La trayectoria seguida por la partícula está contenida en el plano vertical.
– Ciclotrón horizontal: La trayectoria seguida por la partícula está contenida en el plano horizontal.
La principal diferencia entre ellos es que el manejo de las “D” es más complicado en el ciclotrón horizontal.
Existen ciclotrones blindados con el fin de proteger a los trabajadores de la radiación producida.
1.4 Aplicaciones del ciclotrón :
- Numerosos centros de Medicina Nuclear utilizan el ciclotrón para la producción de los llamados radioisótopos que después utilizan para obtener imágenes del interior del cuerpo humano y así facilitar las labores de diagnóstico de distintas enfermedades.
- El ciclotrón también tiene aplicaciones en oncología.
- Se utiliza para irradiar materiales, como por ejemplo, circuitos electrónicos de interés en la industria aeroespacial y así observar los efectos que la radiación produce en los mismos a fin de simular las condiciones ambientales en las que se desenvuelve el funcionamiento real del circuito.
- La radiofarmacia es uno de los campos que más se beneficia, al utilizar isótopos que se pueden sintetizar en diferentes moléculas.
Además en diferentes tecnologías de la industria se encuentran numerosas aplicaciones para laboratorios de ensayo, controles de calidad, aplicaciones nucleares, etc.
2. FUNCIONAMIENTO :
El ciclotrón es un acelerador de partículas circular que mediante la acción de un campo eléctrico oscilante y otro magnético consigue acelerar los iones haciéndolos girar en órbitas de radio y energía crecientes. Se podría decir que el ciclotrón se trata de un acelerador Winderöe en forma circular y provisto de dos electrones en lugar de muchos de ellos. El ciclotrón consta de de dos cajas planas semicirculares, denominadas “des” (D1 y D2).

Las “des” se encuentran encerradas en un compartimento estanco, y el conjunto se halla colocado entre los polos de un electroimán lo bastante grande para proporcionar un campo magnético suficientemente constante sobre la superficie total de las “des”.

El movimiento de las partículas se fundamenta en la Ley de Lorentz:

Continuando con el funcionamiento, estas «des» se encuentran conectadas a un generador de alta frecuencia, capaz de de desarrollar, a través de las “des”, un voltaje muy alto (unos 30000 V más o menos), a varios millones de hercios. Un filamento eléctrico incandescente, produce una corriente de electrones que ioniza el gas de hidrógeno deuterio y helio existente en el sistema, para producir protones, deuterones o partículas alfa respectivamente.
El éxito del ciclotrón depende del hecho de que el tiempo exigido por un ion de una carga-masa dada para completar una revolución en el campo magnético, no se altera al aumentar la energía del ion. Así, con tal que la frecuencia y el campo magnético estén en su justa proporción, un ion que haya partido de la fuente, y sea captado por el campo eléctrico en su fase correcta en la abertura entre las “des», experimentará sincrónicamente una aceleración cada vez que cruce la abertura.
El hecho de que la frecuencia sea variable es debido a que los primeros ciclotrones (de frecuencia fija) tenían en la práctica un límite de energía máxima resultante del aumento de la masa de las partículas cuando alcanzan energías entre 20 y 30 MeV. A estas energías, las partículas empiezan a girar más despacio y no se puede mantener por más tiempo su sincronismo con el voltaje de radiofrecuencia de las “des”.
Esta pérdida de sincronismo puede ser neutralizada disponiendo que el campo magnético crezca en la medida en que lo hace la distancia radial al centro. A su vez, este tipo de campo provoca un desenfoque vertical y hace que las partículas golpeen las superficies superiores e inferiores de las “des”. Para evitarlo y mantener las partículas próximas al plano mediano del campo magnético se hace decrecer ligeramente el campo magnético mientras aumenta el radio.
El espacio hueco del interior de las “des” está esencialmente libre de campo eléctrico. El ion, una vez en este espacio, se mueve a velocidad constante en la trayectoria circular prescrita por el campo magnético. Dado que la energía del ion aumenta en las sucesivas aceleraciones que sufre en la abertura, cada vez describe círculos más amplios, pero con velocidad creciente.

La sincronización es tal que, a cada sucesivo cruce por la abertura, el voltaje de radiofrecuencia cambia su polaridad cambia su polaridad en el sentido correcto para proporcionar una aceleración adicional.Por último, cuando el ion alcanza un determinado radio máximo, que depende del tamaño del imán, alcanza también su máximo de energía. En este punto puede ser utilizado para incidir en un blanco o puede usarse un sistema deflector especial para dirigirlo fuera de la máquina.

* En el siguiente link se puede uso un programa para observar la trayectoria de la partícula :
Link(click aquí): [Simulación trayectoria ciclotrón]
3. OTROS ACELERADORES CIRCULARES :
3.1 El Sincro-Ciclotrón :
Surge de la necesidad de solucionar la estabilidad de fase y el efecto relativista de la masa de las partículas o iones. Para ello se introduce un nuevo elemento:
Oscilador RF: El oscilador se desplazaba a la banda de frecuencias que satisface la condición de resonancia magnética de una partícula con masa creciente(frecuencia ciclotrón).
Su funcionamiento(expuesto en el punto 2) es muy similar al del ciclotrón, de hecho, actualmente cuando nos referimos al ciclotrón, estamos hablando realmente de un sincro-ciclotrón, ya que la idea original quedó obsoleta.
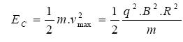
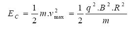
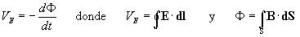
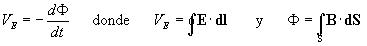
3.2 El Betatrón :
El acelerador de inducción magnética o betatrón fue inventado por Donald W. Kerst en 1945 y recibe su nombre de las llamadas partículas beta.
El betatrón está formado por tubo toroidal en la que se ha hecho el vacío. Este tubo se sitúa entre las piezas polares del electroimán, el cual es alimentado por una corriente alterna, de manera que al aplicar un campo magnético los electrones describen una trayectoria circular, de forma que el campo eléctrico generado solo depende del radio, es constante y tangencial.

Por otro lado, los electrones son acelerados por una fuerza electromotriz inducida producida al variar el flujo magnético en el tiempo, de acuerdo con la ley de Faraday.

Para que el radio se mantenga contante en todo momento, se hace variar el campo magnético, así como el flujo magnético.
Los betatrones se utilizan para crear rayos de electrones de alta energía —sobre los 300 MeV. Tiene aplicaciones tanto industriales y médicas (Rayos X).
4. El SINCROTRÓN :
Los principios del sincrotrón fueron descritos en 1945 casi simultáneamente por Edwin Mattison McMillan en la Universidad de California y Vladimir Iosofovich Veksler en la unión soviética.La realización del sincrotrón se debe a que con el ciclotrón o el betatrón no se podían alcanzar cantidades grandes de energía para experimentos con partículas. El primero de estos sincrotrones, fue construido en California por McMillan, y trabajaba a 320MeV.
Al igual que el ciclotrón,el sincrotrón es un acelerador de partículas, pero para la aceleración de partículas en un sincrotrón , la fuerza del campo magnético es incrementada para mantener el radio de la órbita casi constante. Ésta técnica tiene la ventaja que el imán requerido para formar ésta orbita es mucho más pequeño que el necesario en un ciclotrón para producir la misma energía de partículas. Pero el diámetro del tren acelerador de partículas requerido para esas energías era tan grande que un solo imán no era suficiente para generar un campo deflector. Por tanto se usaron una serie de imanes en disposición circular para que el recorrido del rayo de partículas describiese una órbita circular. Entre éstos imanes, quedaba un espacio donde se introdujeron las llamadas líneas de aceleración con el fin de incrementar la velocidad de las partículas. La aceleración en un sincrotrón se consigue por variación de voltajes de radio-frecuencia, mientras que el sincronismo es mantenido por el principio de estabilidad de fase.
El campo magnético debe ser formado para dirigir el rayo de partículas. Además, la tasa de incremento en la energía de las partículas viene relacionada con el incremento de la fuerza del campo magnético En los primeros sincrotrones el campo disminuía con el incremento del radio del sincrotrón. Esto producía que la capacidad de dirigir el rayo era débil y sólo adecuada para máquinas en que las dimensiones del imán eran apreciables en comparación con el radio de la órbita, con lo que producir incrementos de energía (sobre todo a partir de 10GeV) se hacía demasiado caro.
La introducción del direccionamiento por alternadores de gradiente que consistían en el uso de cuadrupolos y sextupolos que tenían mayor fuerza para dirigir el rayo dio la solución al problema e hizo posible sincrotrones de energías mucho mayores, como pronto se pudo comprobar con la creación del sincrotrón de protones de 33GeV en el laboratorio nacional de Brooklyn (N.Y.) y el sincrotrón de 28GeV del CERN(Organización Europea para la Investigación Nuclear) próximo a Ginebra.
Como el sincrotrón no puede trabajar en un rango de energías pequeño, el rayo de partículas debe ser pre-acelerado en otro acelerador como puede ser un LINAC o acelerador lineal(LINnear ACcelerator),para que el rayo pueda ser “inyectado” en el sincrotrón utilizando un mínimo campo magnético.El uso de un acelerador para éste propósito es denominado Inyector Magnético. Además el sincrotrón dispone de un Eyector Magnético para extraer las partículas del sincrotrón utilizando un campo magnético.

Esquema de los componentesde un sincrotrón.Click en la imagen para ampliar.
4.1 El Sincrotrón de Electrones :
La invención del sincrotrón resolvió inmediatamente el problema del límite de aceleración de los electrones impuesto por la radiación de electrones moviendose en órbitas circulares. Esta radiación fue llamada radiación sincrotrón. Un betatron puede acelerar electrones hasta 300MeV solo si la radiación se compensa cuidadosamente, pero un sincrotrón sólo necesita un modesto incremento en el voltaje de radio-frecuencia de aceleración. El primer sincrotrón de electrones fue el de 300MeV construido por McMillan como se comentó anteriormente. El mayor sincrotrón de electrones era el Gran Colisionador de Electrones-Positrones (LEP) en el CERN que hasta 2001 operaba como colisionador de partículas.
4.2 Sincrotrón de Protones: El Tevatrón
El modo de operación de un sincrotrón de protones es similar al del sincrotrón de electrones pero con dos importantes diferencias. Primero, como el protón no se acerca a la velocidad de la luz hasta que su energía no supera con creces 1 GeV, la frecuencia del voltaje de aceleración debe ser modulada para mantenerla proporcional a la velocidad de la partícula durante la fase de aceleración inicial. Segundo,los protones no pierden una cantidad significativa de energía por radiación. El límite en la energía de un sincrotrón de protones es impuesto por el coste del anillo de imanes. Hasta ahora, los sincrotrones más grandes que se han construido son de protones. El primer sincrotrón de protones operativo fue el Cosmotrón de 3GeV en Brookhaven en 1952. En 1972 un gran sincrotrón entró en funcionamiento en Fermilab, que llegó a acelerar protones a 500GeV, pero ara alcanzar mayores energías, Fermilab construyó un segundo sincrotrón con 6.3km de túnel para un anillo de 1000 imanes. Llamado Tevatrón, operaba a 1000Gev(1TeV). El sincrotrón original de Fermilab, sirvió como inyector del Tevatrón hasta que en 1999 se reemplazó por el Inyector Principal, un nuevo sincrotrón con el fin d econseguir un rayo más intenso para el Tevatrón. En 1987 el Tevatrón pasó a funcionar como colisionador de protones-antiprotones hasta hoy día, con lo que pasaremos a analizar el funcionamiento del sincrotrón como colisionador.

Fotografía aérea de la estructura circular del Tevatrón.Click en la imagen para ampliar.
5. ANILLOS DE ALMACENAMIENTO: COLISIONADORES DE PARTÍCULAS
Aunque los anillos de almacenamientos se usen para el aceleramiento de partículas,su propósito principal es el de hacer posible interacciones energéticas entre rayos de partículas moviéndose en direcciones opuestas. Cuando un objeto en movimiento golpea a otro idéntico en reposo, una parte de la energía cinética del objeto móvil está disponible para producir calor o deformar objetos; la restante se cuenta para los movimientos de los objetos tras la colisión. Si ahora los dos objetos se encuentran en movimiento con direcciones opuestas a misma velocidad, toda la energía cinética está disponible para producir calor en el instante de la colisión. Es decir, si un protón de 400GeV golpea a otro en reposo, solo 27.4 GeV están disponibles para la interacción. Pero si dos protones de 31.4Gev colisionan, 62.3 GeV estarían disponibles para la interacción. Por esto en los colisionadores se producen las interacciones de partículas a la máxima energía conseguida hasta ahora.
5.1 Colisionador de Electrones :
Muchos anillos de almacenamiento han sido construidos para el estudio de las interacciones entre electrones y positrones. Al tener cargas opuestas, los electrones y positrones circulan en direcciones opuestas a través de los imanes del anillo hasta su colisión. En el siguiente esquema podemos observar que la estructura tiene algunas modificaciones con la del sincrotrón normal.

Esquema de la estructura de un colisionador.Click en la imagen para ampliar.
Para un colisionador protón-positrón se usan dos inyectores para cada tipo de partículas y se hacen colisionar dentro de un dispositivo llamado detector de partículas encargado de detectar cualquier nueva partícula creada tras la colisión. Para la correcta entrada del rayo en el detector, se añaden una serie de imanes de direccionamiento especialmente para esa tarea.
Este tipo de anillos de almacenamiento son usados principalmente para la investigación de partículas subatómicas ,como las obtenidas en los colisionadores PEP-II de la universidad de Stanford y en el KEK-B del Laboratorio Nacional de Tsukuba, en los cuales electrones y positrones se almacenan a diferentes energías para que en la colisión el momento resultante no sea cero, con lo que consiguieron nuevas partículas de corta vida, los Mesones-B, creadas en movimiento,usadas para estudiar la dilatación del tiempo en la teoría de la relatividad. El mayor colisionador de electrones-positrones construido fue el LEP, localizado en el CERN que operó desde 1987 hasta 2001 y medía 27km.
Los electrones y positrones en estos anillos de almacenamiento emiten radiación sincrotrón en grandes cantidades. La longitud de onda de ésta radiación llega hasta la franja de los rayos-X para los anillos almacenadores de alta energía.Por ello, éstos anillos constituyen la mayor fuente de radiación electromagnética disponible en las regiones ultravioleta y rayos-X. Ésta radiación está probando ser cada vez más útil para la investigación de la física de sólidos, biofísica y física química. Por ello, varios anillos de almacenamiento han sido equipados con estructuras magnéticas diseñadas especialmente para producir radiación sincrotrón y operan sólo con éste objetivo.
5.2 Colisionador de Protones: El Gran Colisionador de Hadrones
En 1971 el CERN fue pionero en el almacenamiento de protones con el ISR (Intersecting Storage Rings), colisionando 2 rayos en 2 anillos entrelazados a 31GeV,obteniendo una energía de colisión de 62GeV, lo equivalente a una colisión de un rayo con un objetivo estacionario a 2TeV. Una década después el CERN alcanzó energías mucho mayores con una técnica radical, colisionando protones con antiprotones en el Super Proton Sunchrotron de 450GeV. Pero la dificultad de conseguir un rayo suficientemente intenso de antiprotones ha llevado al CERN a retomar el concepto de colisionador protón-protón. Hasta el momento, el Tevatrón era el colisionador que operaba a mayores energías, pero en 2001, comenzó la construcción del Gran Colisionador de Hadrones(Large Hadron Collider LHC) y comenzó sus primeros test operativos en 2008. El LHC ha reemplzado al LEP en su tunel con circunferencia de 27kms para acelerar los rayos de protones a 7TeV. Usa un único anillo de imanes superconductores con un diseño “2 en 1” que conduce a los protones hacia direcciones en 2 rayos diferentes en la misma estructura. También está diseñado para colisionar rayos de iones pesados.

Vista aérea del túnel circular del LHC.
El propósito principal del LHC es examinar la validez del Modelo Estándar, es decir, el actual marco teórico de la física de partículas, del que se conoce su ruptura a niveles altos, y simular algunos eventos ocurridos durante o tras el Big Bang. Una vez se realicen los primeros dos grandes experimentos denominados ATLAS y CMS, ambos nombrados por los detectores de partículas del LHC, se espera poder profundizar en un amplio abanico de teorías cuánticas, aunque el elemento a encontrar más esperado es el bosón de Higgs, partícula que se tiene como la piedra angular de lo que los científicos designan como modelo estándar de la física, aunque por el momento todavía sea una hipótesis. “Se trata de una partícula que no tiene equivalente en el universo» según Étienne Klein, físico francés que colabora en el proyecto. Otro de los puntos importantes es que se espera encontrar el elemento que compone la materia negra, concepto proveniente de la astrofísica “sabemos que las galaxias sufren fuerzas gravitacionales creadas por masas mucho más importantes que las que vemos», explica Klein. La única forma de explicar este déficit de fuerza es postular que una materia invisible también actúa gravitacionalmente. De hecho, se calcula que sólo el 4% del universo es materia ordinaria. Un 30% sería la materia negra, y el resto energía negra, que también desconocemos profundamente”.

BIBLIOGRAFÍA :
Sobre el Sincrotrón:
link1: [Página sobre el funcionamiento y estructura del sincrotrón] (Idioma:Alemán)
link2: [Página sobre ciencias generales con varios artículos sobre el sincrotrón y demás aceleradores de partículas] (Idioma:Inglés)
para mantenerse actualizado, las tres webs de los centros de investigación más importantes:
link1: [Web del CERN] (Idioma:Inglés)
link2: [Web de FERMILAB] (Idioma:Inglés)
link3: [Web de DESY] (Idioma:Alemán)
Sobre el LHC:
link1: [Artículo en adn.com sobre el LHC] (Idioma:Español)
link2: [Web del LHC/CERN] (Idioma:Inglés)
Sobre los aceleradores de partículas:
link: [Información general sobre aceleradores en wikipedia] (Idioma:Español)
Sobre el ciclotrón:
link1: [Fundamentos físicos del ciclotrón] (Idioma:Español)
link2: [Información Ciclotrón/Sincrotrón] (Idioma:Español)
Bibliografía complementaria:
link: [Web del Centro de Investigaciones Energéticas,Medioambientales y Tecnológicas de España] (Idioma:Español)
video del dia
Descubre más desde La Red Cientifica
Suscríbete y recibe las últimas entradas en tu correo electrónico.

